Passer au contenu principal
Mathématiques 4
Panneau latéral
Recherche de cours
Fermer
Recherche de cours
Activer/désactiver la saisie de recherche
English (en)
Français (fr)
العربية (ar)
Connexion
Cours
Contact
Archive
Cours
Contact
Archive
Cacher les blocs
Plein écran
Vue standard
Cours
Institut des Sciences et Technologies
Département Génie Civil et Hydraulique
L2:Génie Civil et Hydraulique
S4: Hydraulique
Mathématiques 4
Chapitre1
Chapitre1(cours+td)
Chapitre1(cours+td)
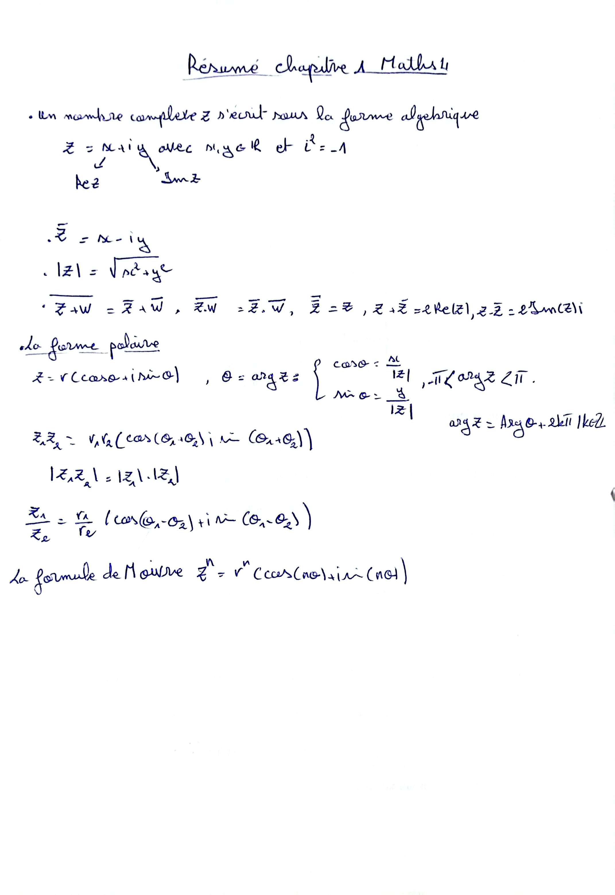
CamScanner 11-02-2024 20.19_1.jpg
Télécharger le dossier