Passer au contenu principal
Turbomachines2
Recherche de cours
Fermer
Recherche de cours
Activer/désactiver la saisie de recherche
Connexion
Cours
Institut des Sciences et Technologies
Département Electromécanique et Génie Mécanique
L3: Energétique
S6: Energétique
Turbomachines2
Examen Turbomachines 2 avec corrigé type
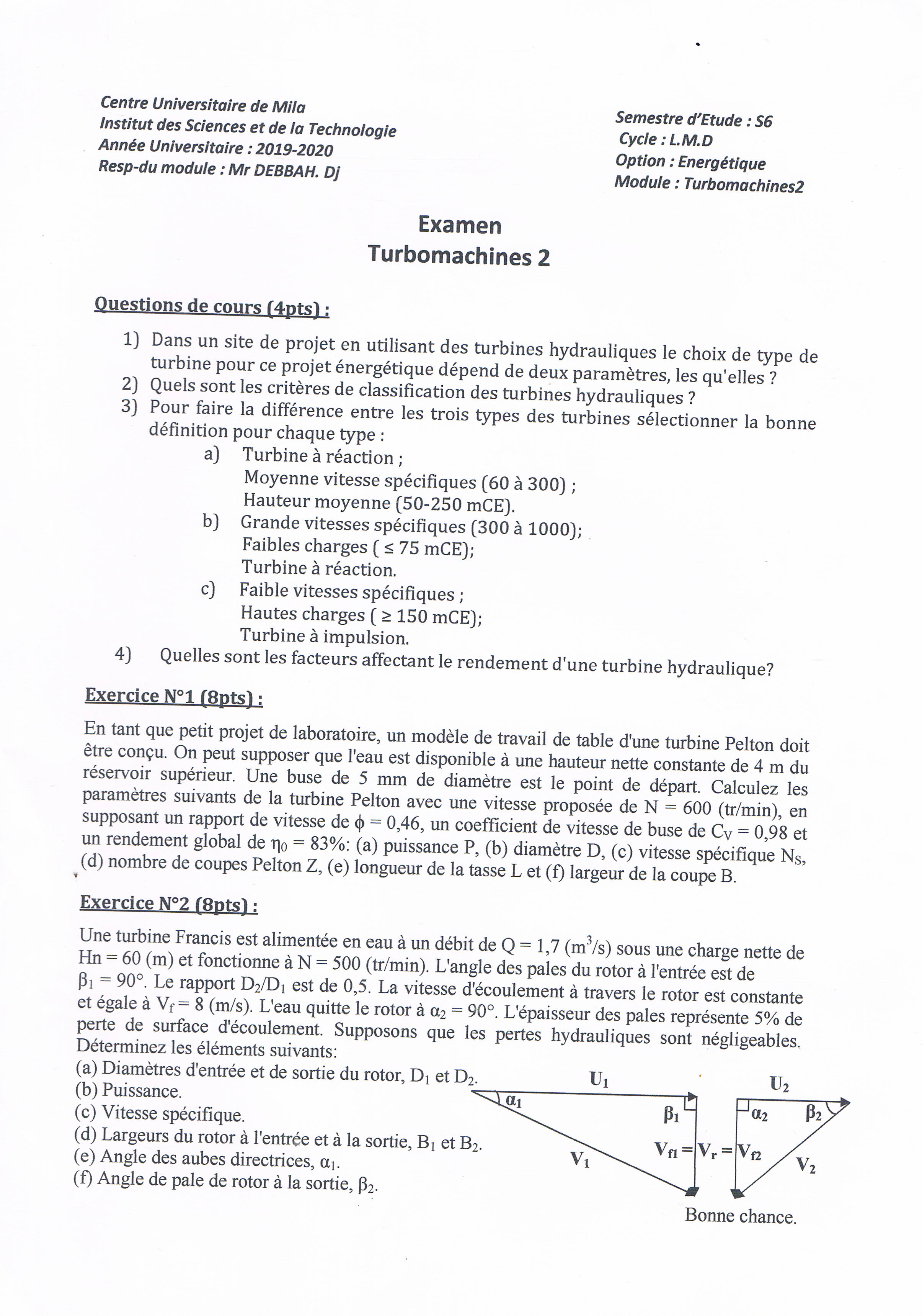
Examen Turbomachines 2 de 2019
Examen Turbomachines 2 de 2019
Activité précédente
Thermodynamique de lécoulement des fluides
Activité suivante
Examen Turbomachines 2 2022
Aller à…
Aller à…
Turbomachines approfondies
Chapitre 2 Introduction à l'aérodynamique
Annonces
TD Cavitation
cours La cavitation dans les pompes
Cours en francais
Cours en anglais
Série de TD
CHAPITRE 4 Etude des tuyères
Chapitre 5:
Thermodynamique de lécoulement des fluides
Examen Turbomachines 2 2022